
了解惠斯登电桥传感器电路设计技巧
(2025年12月15日更新)
仪表放大器可调节传感器
惠斯登电桥是这种情况的经典例子,但就像生物一样传感器

为了简化 RA对于值的搜索过程,假设采用双电源运行模式,有接地 REF 已知的双极调节电压 VA。输出电压可通过以下公式计算:

图 5 对单电源工作模式修改的失调移除电路
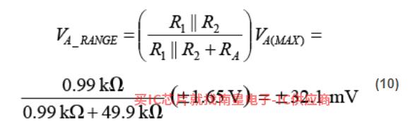
从表1可以看出,当增益为101时, R1和R2需为1 k?和100 k?。电路包括一个 0 V 至 3.3 V 范围内摆动,或在 1.65V 左右摆动基准电压±1.65 V。为了计算 RA我们使用等式 (6)。其中,VA(MAX)= 1.65 V 且 VIN(MAX)= 0.025 V, RA= 65.347 kΩ。当电阻容差为 1%时,最接近的值为 64.9 k?。然而,这并没有给源精度和温度变化引起的误差留下任何余量,所以我们选择了一个常见的 49.9 k? 低成本电阻的成本是降低了调整分辨率,导致调整后略有失衡。
我们可以从等式(7)中计算出额定增益值 如果设计师想要接近目标值 100 最简单的简单的方法就是 R2的值降低 3%左右,至 97.6 k?,结果对 RA值的影响很小AD芯片。在新的条件下,额定增益为 100.6。
由于DAC可以摆动±1.65 V,因此,总失调的范围可以通过RA以及R1和R给定并联组合形成的分压器,计算方法如下:

AD公司被热门关注的产品型号
AD2435:汽车接口(CAN、音频)
AD 汽车音频总线 A2B 收发器
LTC1535:RS-232-RS-422-RS-485
AD 隔离型 RS485 收发器
ADG1313:单电源模拟开关和多路复用器
AD ± 15 V /12 V四通道单刀单掷开关
AD9172:高速数模转换器≥30MSPS
AD 具有信道选择器的双路、16 位、12.6 GSPS RF DAC
LT1229:运算放大器
AD 双通道 100MHz 电流反馈放大器
AD7245A:精密DAC
AD 12位DACPORT,采用双缓冲并行输入结构
AD9752:高速数模转换器≥30MSPS
AD 12位、100 MSPS+ TxDAC数模转换器
AD8617:运算放大器
AD 低成本、微功耗、低噪声CMOS RRIO双通道运算放大器
AD4021:精密模数转换器- 20 MSPS
AD 20位、1.8 MSPS/1 MSPS/500 kSPS、轻松驱动、差分SAR ADC
LTC5532:RF功率检波器
AD 具增益和偏移调节功能的精准型 300MHz 至 7GHz RF 检波器
ADL5523:RF放大器
AD 400 MHz 至4000 MHz 低噪声放大器
LTC5553:RF混频器
AD 3GHz 至 20GHz 微波混频器
LTC5584:I-Q调制器和解调器
AD 具 IIP2 和 DC 偏移控制功能的 30MHz 至 1.4GHz I/Q 解调器
ADM8642:监控电路
AD 具有禁用输入和低电平阈值电压的超低功耗电压检测器
LTC4002:电池管理
AD 独立型锂离子开关模式电池充电器
HMC361S8G:分频器、乘法器与检波器
AD 使用InGaP HBT技术,2分频,采用SMT封装,DC - 10 GHz
AD7921:精密模数转换器- 20 MSPS
AD 双通道、2.35 V至5.25 V、250 kSPS、12位ADC
LTC3255:无电感(电荷泵)DC-DC转换器
AD 宽 VIN 范围、故障保护、50mA 降压型充电泵
AD7674:精密模数转换器- 20 MSPS
AD 18位、2.5 LSB INL、800 kSPS、SAR ADC
HMC748:解串器(SerDes)和选择器复用器
AD 13 Gbps Fast Rise Time 2:1 Selector with Programmable Output Voltage
- 时钟-定时 - 时钟发生器,PLL,频率合成器
- 电源管理IC - 电源控制器,监视器
- 电源管理IC - 稳压器 - 线性 + 切换式
- 线性器件 - 放大器 - 仪器、运算放大器、缓
- 电源管理IC - 电源管理 - 专用型
- 评估板 - DC-DC 与 AC-DC(离线)SMPS
- 数据采集 - ADC-DAC - 专用型
- 电涌抑制 IC
- 接口 - 模拟开关,多路复用器,多路分解器
- 射频放大器
- 评估板 - DC-DC 与 AC-DC(离线)SMPS
- 电源管理IC - 以太网供电(PoE)控制器
AD官网每日新闻头条
- AD公司应用于下一代射频、微波和毫米波 推出行业先进PLL/VCO解决方案
- 进入无线电池管理系统(wBMS)安全是新时代的首要任务
- 该负输出稳压器紧凑、高功率,可扩大输入电压范围
- AD公司增强型A2B为新兴应用程序提供无与伦比的灵活性
- 如何利用模态分析设计高质量振动传感器外壳
- AD并购MAXIM 真的可以挑战TI吗?
- AD公司隔离电源转换器支持B系统EMI等级
- ToF应用程序就像打开的潘多拉盒子,空间巨大,需要挖掘
- 精确、低功耗的远程检测概念
- AD 12位10.25-GSPS射频ADC为仪器和通信应用建立新的性能标准
- 5G、测试测量、消费电子、工业等热点RF模拟带来了巨大的机会
- 排除和微调数字预失真的故障不再困难 请查收必备策略

丰富的可销售AD代理库存,专业的销售团队可随时响应您的紧急需求,目标成为有价值的AD代理
















